Public Facilities Tend to Bypass Muslim, Scheduled Caste Neighbourhoods In India: Study
New Delhi: Despite decades of social policy and values like equality being enshrined in the constitution, India remains a highly segregated society, a study has found.
A working paper published by the National Bureau of Economic Research, titled 'Residential Segregation and Unequal Access to Local Public Services in India: Evidence from 1.5m Neighbourhoods', demonstrates how separation along caste and religious lines remains deeply embedded into fabric of everyday lives, with residential segregation faced by Muslims and Scheduled Castes (SC) in India among the highest in the world.
“Muslims and SCs have notably segregated residential patterns, slightly lower than Black Americans and non-White people in England and Wales, but higher than minority groups in almost all other comparison countries,” the paper notes.
These neighbourhoods are not just socially separate. On average, Muslim and SC-majority areas have fewer public facilities and are majorly under-provisioned.
“Compared with a 0% Muslim neighborhood, a 100% Muslim neighborhood in the same city is 10% less likely to have piped water and only half as likely to have a secondary school,” the research states.
Researchers Sam Asher, Kritarth Jha, Paul Novosad, Anjali Adukia and Brandon Tan conducted a cross-neighbourhood analysis, across 15 lakh urban and rural neighbourhoods, using census-linked data to show that systemic exclusion and segregation of Muslims and SCs significantly affects their access to public services.
Inequality at the neighbourhood level
The study also delves into how, in India, two neighbourhoods can share geographical proximity, vote for the same representatives, pay an equitable amount of taxes, and yet, exist in entirely different realities.
One may have easy access to local clinics and secondary schools, with regular supply of clean water and electricity, while another grapples with the daily strife of sending their children to school across town, waiting in long lines for access to basic amenities, and rushing to far-away hospitals due to a dearth of reliable public services and infrastructure.
These disparities are not merely income-related but are manifestations of a pervasive system of inequality embedded in the smallest unit of public life: the neighbourhood. Residential segregation – the physical separation of people into unequal yet distinct spatial environments on the basis of religion, caste, or ethnicity – perpetuates worse access to public services, employment opportunities and labour networks, and promotes unfair stereotypes and prejudices inherent within the society.
On paper, several Indian districts may appear to be closing public infrastructure gaps, however, persistent urban inequality is not visible in aggregate reports such as district or state-level statistics typically used for policy-making. The research bridges this gap by carrying out a vast cross-neighbourhood analysis and examining how factors like caste and religion impact an individual’s ability to access public services.
Measuring segregation
The study measures the extent of residential segregation in urban and rural areas using administrative data from three national datasets: the 2011 Population Census, 2011-12 Socioeconomic and Caste Census, and the 2013 Economic Census. Furthermore, it uses two standard indices to access segregation- dissimilarity and isolation indices.
It finds that Muslims have a higher isolation index and are relatively more segregated in cities than in rural areas, as compared to SCs. (A higher isolation index puts emphasis on little exposure to other groups with a high concentration of members of the marginalised group.)
“26% of urban Muslims live in neighbourhoods that are more than 80% Muslim, while 17% of urban SCs live in neighbourhoods that are more than 80% SC,” it states.

Population Distribution as a Function of Marginalised Group Share, Photo: Residential Segregation and Unequal Access to Local Public Services in India: Evidence from 1.5m Neighbourhoods, NBER.
Even though Indian neighbourhoods are comparatively small – around 500 people per block as opposed to 4000 people in US census tracts – these levels of segregation rival Black-White segregation in the US and bypass other low or middle-income countries like Brazil. Moreover, India observes higher levels of segregation than Italy and Nordic capitals, and occupies a midpoint compared to non-White segregation in England, Wales and Spain.

India's Urban Segregation in International Comparison, Photo: “Residential Segregation and Unequal Access to Local Public Services in India: Evidence from 1.5m Neighbourhoods,” NBER.
Urban replication of rural patterns
Another important finding is that urban segregation mirrors rural patterns, suggesting that historical settlement norms are being reproduced instead of being reformed by urbanisation.
The study reports, “rural and urban segregation are highly correlated for both Muslims and SCs (ρ∈0.43−0.73), suggesting that the regional dynamics that lead to the separation of social groups in rural areas are also important in neighboring cities and towns.”
Although SC urban segregation decreased by 1-3% between 2001-11, the changes were marginal in rural areas. Residential patterns remained persistent, marked by long-standing societal norms and constraints.

Urban vs Rural Segregation: District-level Comparisons, Photo: “Residential Segregation and Unequal Access to Local Public Services in India: Evidence from 1.5m Neighbourhoods,” NBER.
The study also identifies certain city characteristics associated with higher segregation. Both marginalised groups are more segregated in larger, poorer, and older cities, as well as in areas that experienced considerable Hindu-Muslim violence since 1950 — augmenting feelings of homophily in social networks.
It states that heightened segregation is experienced by Muslims in cities with low upward mobility, an interesting observation considering Muslims comprise the lowest upward mobility group in India.
Unequal access to public services
Across nearly every category – schools, health care, sanitation, piped water and electricity – access to public services is systematically worse in neighbourhoods with larger shares of marginalised groups.
The study highlights that over half of India’s urban Muslims live in neighbourhoods with greater than 50% Muslim share – localities especially prone to being under provisioned. “A fully Muslim neighborhood has 13% fewer primary schools, 46% fewer secondary schools, and 20% fewer health centers than a neighborhood with no Muslims.”
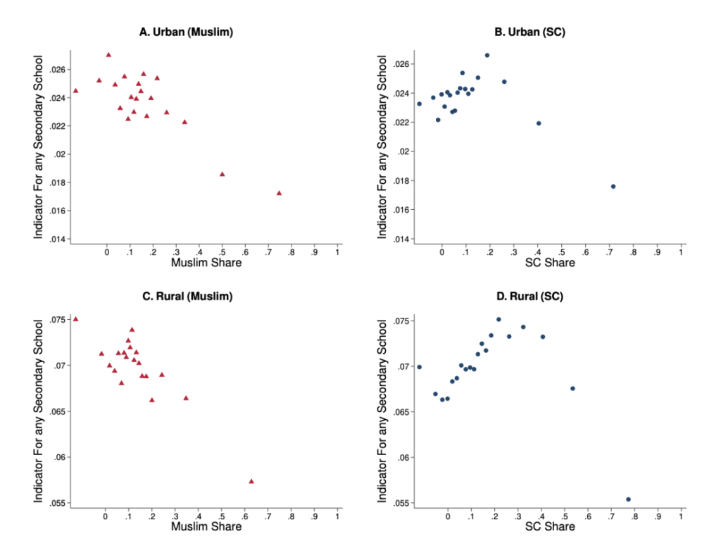
Secondary school availability is directly correlated to higher a Muslim population, such that “raising the Muslim share of a neighbourhood by 50 percentage points is associated with a 22% lower likelihood of the neighbourhood having a public secondary school.”
Similarly, as the SC share moves beyond 20% within an area, secondary school presence falls precipitously, and neighbourhoods with higher than 50% SC population notice similar circumstances as 50% Muslim neighbourhoods.

Access to Secondary Schools vs. Neighbourhood Marginalised group Share, Photo: “Residential Segregation and Unequal Access to Local Public Services in India: Evidence from 1.5m Neighbourhoods,” NBER.
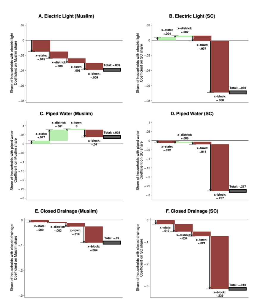
The research indicates that “access to public services is systematically worse in neighborhoods where marginalized groups live. This holds for both Muslims and SCs, and for almost every local service, including primary and secondary schools, medical clinics, piped water, electricity, and covered sewerage. Private providers do not make up for the reduced service access of marginalized groups; in fact, private services are also less accessible in MG neighborhoods.”

Disparities in Urban Infrastructure Access as a Function of Neighbourhood Marginalised Group Share, Photo: “Residential Segregation and Unequal Access to Local Public Services in India: Evidence from 1.5m Neighbourhoods,” NBER.
Nevertheless, cross-neighbourhood allocation of public services was observed to be more unfavourable to Muslims than SCs. “Muslim neighbourhoods have fewer public facilities on average, while SC neighbourhoods have similar service levels to non-SC neighbourhoods,” even when aggregate effects are analysed. The study states that these results are consistent with affirmative action targeting SCs, positively affecting service allocation across districts – an aspect noticeably missing in relation to Muslim communities.
The findings underline the need for examining inequality across neighbourhoods, rather than solely relying on district or state-level comparisons. The study evidences that much of the uneven allocation of resources occurs within villages and towns, at the level of small residential clusters rather than between larger administrative units.
Patterns of disadvantages may be obscured in conventional aggregate datasets — district-level data for SC-heavy areas may be misleading as even though the district may receive more resources overall, SC neighbourhoods may remain underprovisioned and unrecorded.
Thus, without high-resolution, neighbourhood-level analysis, these disparities would remain difficult to detect, particularly in rural areas where within-settlement variation would otherwise be difficult to measure.
Social marginalisation and why local politics matter
Historically, practices of untouchability and discrimination have confined individuals from lower status social groups to hamlets separated from the village’s primary agglomeration comprising schools and health centres. These social structures have solidified over the years instead of being completely eradicated by urbanisation, leading to residential segregation and unfair allocation of public services. Moreover, Hindu-Muslim violence has exacerbated feelings of paranoia and fear among Muslims, resulting in a decline in mixed neighbourhoods.
Local governance bodies like the panchayat hold de facto decision-making powers in rural areas whereas urban allocation of services is highly dependent on citizen organisation and informal, party-affiliated power brokers who act as mediators for accessing resources. Segregated neighbourhoods with a predominant share of marginalised populations hold less political sway over representatives and possess weaker social ties to other members of the society. Thus, residential segregation inevitably promotes an under-provision of public services as marginalised groups are unable to effectively reach public representatives.
An absence of social networks also negatively impacts economic opportunities. As members from marginalised groups are poorer on average, and face regular informal as well as formal discrimination, residential segregation and any subsequent discrimination in state service provision further worsens these disadvantages.
This study shifts the focus on inequality in India from regions and districts to the everyday geography of neighbourhoods, highlighting the glaring inadequacies of aggregate statistics which policymakers rely on. Without micro-level service allocation and locally accountable governance, centre and state-level efforts risk leaving marginalised communities behind, hidden in plain sight while struggling with systemic and societal inequalities.
This article went live on March second, two thousand twenty six, at thirty-six minutes past twelve at noon.The Wire is now on WhatsApp. Follow our channel for sharp analysis and opinions on the latest developments.




