How Five Panjab University Women Students Launched a Movement That Could Change Campus Politics Forever
Patiala: Protests in Panjab University, which started in summer 2025, finally ended on November 27. The vice chancellor has announced the dates for the next senate election – one of the key demands of the protesters. The movement, which began when five young women students of the political science department rose against an affidavit imposed by the university on all new students, expanded rapidly and soon captured the consciousness of the entire state.
Throughout, this student protest raised significant questions – about the university's Punjabi identity, Punjab’s claim over Chandigarh and much more. But, essentially, the idea of a democratic space for students, and which speaks to the students, held the heart of the movement.
The many student organisations united under the Panjab University Bachao Morcha (PUBM) banner demanded accountability from the university administration, and they have succeeded in being heard. Their month-long protest was finally lifted from outside the VC's office yesterday (December 2, 2025) with protesters cleaning up the area before handing it back to the administration.
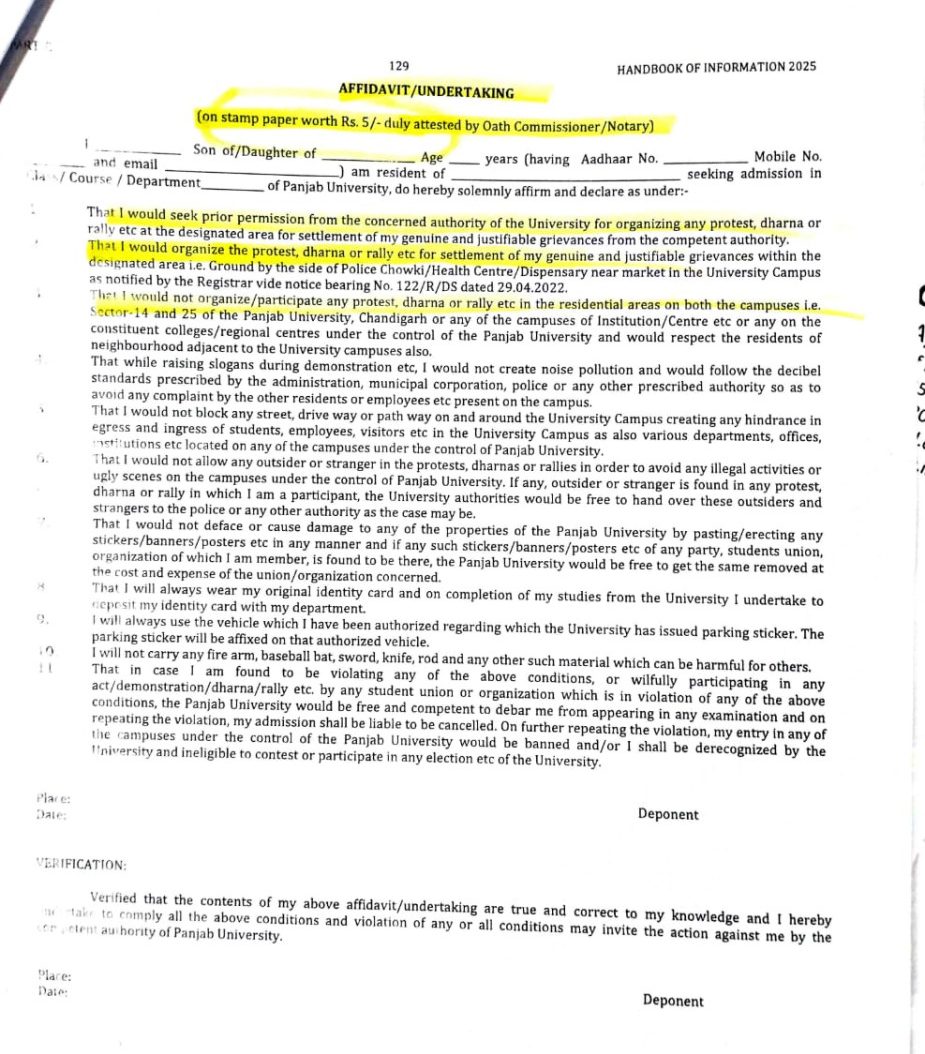
The affidavit
A mandatory affidavit, issued by Panjab University to its incoming batch of students in June, set in motion the fight that eventually restored and reclaimed democratic spaces on the campus and could help change how student politics will be conducted at other campuses in the state.
The affidavit that circulated with the new admissions form in June said students would need "prior permissions from the university to [hold a] protest, rally or dharna, etc." The etc. was the critical word here, for it was seen as a blanket term to cover any act of dissent by the students. The affidavit said that the administration would decide any "genuine or justifiable grievances" of the students. Additionally, the affidavit said a space "outside gate no. 2" would be designated the protest site.
“The affidavit was very undemocratic and unconstitutional,” says Manpreet Kaur, second-year student of political science and one of the initial five who mobilised against the affidavit.
But then, in July 2025, second-year students in the same subject were also asked to fill this affidavit. “We felt that it was selectively targeted towards departments that the university felt might show resistance,” adds Manpreet.
The second-year political science department students decided to collectively boycott the affidavit.
The university tried to negotiate with the students but it didn’t go anywhere. The then vice president of the students union, Archit Garg, filed a petition in the Punjab and Haryana high court against the affidavit. But as student union elections were drawing closer (in September), the parties got busy with canvassing and the issue went a bit dry.

The protesting students in Panjab University seek solidarity from Punjabi society, September 2025. Photo: Novita Singh.
Meanwhile, the university began threatening students, saying they would not be allotted their IDs and library cards, and their documents would not be accepted if the affidavit was not signed and accepted by them.
“Then four of us got together and decided to write about it. The article was published in the Indian Express,” says Manpreet. The political science students began reaching out to other departments, who began writing to their respective department chairpersons, saying they are boycotting the affidavit.
“We mobilised and formed an anti-affidavit front,” says Manpreet. The new front approached the newly elected student’s union on September 25, and it agreed to write a resolution to the vice chancellor, asking the affidavit be withdrawn.
Subsequently, all parties from the university, irrespective of their leanings (barring the RSS-affiliated ABVP) gathered to meet and decided to hold a protest outside the vice chancellor's office on September 30.
That is when a wave of protests and mass mobilisations followed.
The senate
The university withdrew the affidavit on November 4, but the students stood their ground, simultaneously raising the senate issue. For two years, the university had not announced a date for the senate elections, leaving the students without an official governing body.
"A 100-day protest was held in November 2024 against the delays in senate election, which is when the affidavit surfaced for the first time for protesting students," says Harpuneet Kaur, president of Punjab Feminist Union of Students (PFUS), the only such organisation in the university.
On October 27, while the students were protesting against the affidavit, a new notification arrived that said: ‘the Senate is dissolved’. And it said the number of seats in the senate would be reduced from 91 to 49, and it would comprise of members nominated by the administration and not elected representatives.
Students began garnering support, and soon politicians were speaking of the affidavit as an attack on Punjab and its statehood. “The central government is in the process of implementing the National Education Policy, 2022, under which no democratic structure like the senate will be allowed to exist. It is the only such structure in the entire country. To us, it was clear as day that this had to be opposed,” says Sandeep Kumar of Students for Society or SFS, a left-leaning student body.

The Panjab University affidavit for new students that sparked wider protests.
The senate oversees the overall functioning of the university. All student bodies mobilised behind this issue and the Punjab University Bachao Morcha was born in early November.
Though students admit that the senate is in dire need of reform, they say the body cannot be completely undone. They say no representative from Punjab state was ever present at senate meetings – neither the chief minister, nor the education minister, who is on the body as an ex officio member.
Furthermore, the senate has no reservation for women or any other marginalised group. “It is like men getting together, and they are all politicians, and politicians don’t care about students but only about power, money and limelight,” says Harpuneet.
Though the notification dissolving the senate was immediately taken back by the administration, the students continued to protest outside the VC's office, demanding a date for next senate election.
The November 10 protest
The issue gained steam when a protest call given on November 10 saw a massive turnout by people from all walks of life, including kisan unions, teacher organisations, civil society groups and student bodies of other universities. They all reached Chandigarh by buses amid massive police deployment and road blockages. The university gates broke as thronging crowds tried to enter the university.
The new notification about the senate – though it was taken back as quickly it was introduced – was seen as an attack on Punjab’s statehood, a perception exacerbated by the political parties. “We see this issue as connected to Punjab’s federal rights. To us, Punjab’s claim over Chandigarh is attached to Punjabi nationality (identity) and it is definitely connected to the centre-state framework,” says Sandeep Singh, also with SFS.

The protest against the affidavit kept building up over the summer. Photo: Novita Singh.
Students argue that since 1947, the Indian state has consistently tried to centralise powers when it comes to Punjab. “And, this time, it meant that they [the state] wants to take over the senate and thus our rights,” says Noblejeet, a second-year student in the political science department.
Sandeep Singh argues that the Punjab Reorganisation Act, 1966, whereby Punjab was divided into three states (Punjab, Haryana and Himachal Pradesh), also says that the functioning of Panjab University can be overseen by an inter-state body, but it is the Union that continues to run it to date.
“On November 10, many people from different sections of Punjabi society, like farmers and labour organisations, came to the protest. The message went out that the university is being taken away from us (Punjab), and those emotions led to deep political assertions,” Sandeep says. “Today in Punjab any effort towards centralisation is viewed as an attack on people’s identity.”
Also read: In Panjab University, Students Are Struggling Against a Stolen Future
While some student bodies felt that the university was not the right space to raise issues pertaining to Punjab’s statehood, others went with the flow. “We felt the discussions that day should have focused on university and it was a chance to educate people about what the senate is and focus on issues of the students. Furthermore, there was no prior discussion between the student bodies that these issues will be voiced,” says Harpuneet.
The politics of campus
The senate protests have proved historical, even in India's long past of university protests. It has shown how student-led movements, when united on common ground, can make themselves heard. Students complain that, lately, election scenes on campus are similar to political parties' campaigns during other elections.
Parties on campus openly offer bribes in exchange for votes, similar to what mainstream political parties are accused of doing during elections. Elections, even on campuses, have become about money and muscle power, leaving little space for debate and reflection.
“The system seems to have become corrupt over time, and especially post-Covid, we have felt that activism is dead in the university,” says Manpreet. “Before the affidavit protest, we were constantly told by all parties that it is not easy to mobilise students. But eventually, they all came together to fight this matter, irrespective of their leanings and banners,” she said.
Manpreet feels this could happen because a few of them – those leading the affidavit movement –were non-political or 'neutral' students who did not belong to any political party. Therefore, they were able to mobilise all students under a common cause.
When the affidavit protest reached the VC's office on September 30, with a mass signature campaign and their memorandum of demands, 300 students showed up. The political science students who began the protests, despite no background in activism, felt that this had to be done because it was completely in contradiction with what they were being taught at the time – Article 19.
“Article 19 provides us freedom of speech and expression, which includes the right to protest,” says Manpreet. “And the affidavit was in total violation of it.” Under the Indian Constitution, Article 19 lists "freedom of speech and expression, the right to assemble peacefully, to form associations, to move freely, to reside and settle in any part of India, and to practice any profession or business".
“To protest or not to protest is secondary but are we willing to surrender this right at the outset? This is what we were not comfortable with,” says Manpreet.
In Panjab University, many important decisions, such as the reduction in the fee hike in 2017 and the fight for a girls' hostel, were all achieved through protests. Today it is the only university where the female residence is open 24x7, and all because of student-led protests. Depsite all this, the university politics does not provide much space to women activists.
“From the grassroots to mainstream voices, women are trolled. I work a lot, but I know how much respect I have within the activist circle and how they – even women, for that matter – look at me,” says Harpuneet. She feels women activists do not get the same respect that men give each other.
“It is not about representation alone, but also liberation. And it is about how women are treated in political circles,” she says.
Novita Singh is an independent filmmaker who also filmed the farmer’s protests on the borders of Delhi.
This article went live on December third, two thousand twenty five, at seven minutes past seven in the evening.The Wire is now on WhatsApp. Follow our channel for sharp analysis and opinions on the latest developments.




