Is the Bengal SIR Lagging Behind?
Kolkata: The hearing exercise of the special intensive revision of electoral rolls began in mid-December in West Bengal, following the publication of the draft roll. The process is meant to verify voters and correct the rolls. However, the administration is running far behind its deadline, going by the ECI’s own progress data.
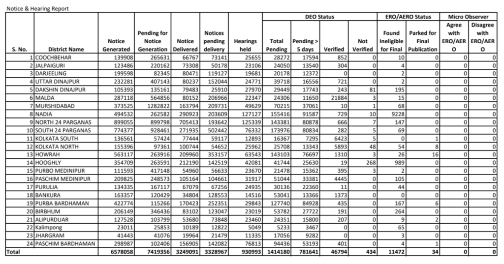
On January 14, the special intensive revision reached its halfway mark in terms of time. But the Election Commission of India's own data shows that the progress on the ground has so far been negligible. The ECI’s data handed to this correspondent by a senior official on January 16, shows that just 49.6% of the necessary 'hearing' notices have been generated so far. This means that half the process has not even started on paper – something that can only be adding to the psychological burden of officials who are dealing with insurmountable backlogs and the anxiety of voters.
Even among the notices that have been generated, only 47.7% have actually been served to voters, the ECI's data shows. In other words, one in two persons who need to be heard by the Election Commission have not received the paperwork that can notify them of it.
The third bottleneck is at the level of the hearings themselves. Only 33.7% of notices served have resulted in actual hearings, the ECI's data shows. Seen together, these failures translate into an overall completion rate of just 7.8% (hearings held as a share of total notices required). That is, out of every 100 notices that the system claims must be issued, fewer than eight have reached a hearing.
At this point, scepticism about the ECI’s efficiency is no longer political or rhetorical but statistical. Even if work speeds up as the February 14 deadline approaches, the EC still confronts a single-digit completion rate around the midpoint of the total time window. This implies that the system would have to complete far more hearings per day, perhaps without resolving upstream failures that are causing the backlog.

Data on notice and hearings shared with the correspondent by the EC.
At the current pace of what a senior ECI official notes is approximately 31,000 hearings per day, the commission would need nearly 450 days to finish the work, yet it has only 30 days left. To meet the February 14 deadline, the machinery must accelerate its speed by 1400% (or 14 times) immediately. Without this miracle, millions of voters risk being left in legal limbo, unheard and potentially disenfranchised.
The stakes are high because the time squeeze created by this breakdown will affect who gets to vote, not those who created or run the process. With a rigid deadline due to the upcoming election, unresolved cases increase the risk of voter exclusion.
As a result, the electoral administrative machinery in the state is facing a bottom-up disintegration as Booth Level Officers (BLOs) revolt against unmanageable targets and erratic directives. Citing physical burnout and increasing hostility from the public, BLOs across key districts Malda, North 24 Parganas and Murshidabad have resorted to mass resignations and indefinite “pen-down” strikes.
If a large share of notices is generated late because the system cannot produce them early, voters will receive communications with fewer days to respond, fewer days to gather documents and less time to arrange travel to the centres where hearings are being held. The burden of this massive administrative task will fall the hardest on people with the least flexibility – daily-wage workers, the elderly, those with limited mobility and families living far from the centres.
The delay is not uniform across the state, creating hotspots of potential exclusion that could turn into serious problems. Murshidabad represents the most acute of such failure points. The district has a “No Mapping” rate of only 2%, meaning 98 out of every 100 electors were able to provide a link to the 2002 voter list. Paradoxically, despite this high rate of documentation, it faces the highest hearing requirement in the state. Due to a “logical discrepancies” flag introduced by the ECI, over 30% of electors are required to appear for a hearing before they are cleared to vote in future elections – or denied. This number is calculated from data furnished by the ECI against district-wise figures of the 2011 Census.
As per the ECI report, the process of generating notices has also barely started, with 77% of notices still pending generation.
The situation is similar in Malda, where, despite a negligible 1.88% “No Mapping” rate, 28.42% of the electorate is under scrutiny, while only 2.62% of hearings have been completed. It would mean that hundreds of thousands of notices could be generated only at the last minute, leaving voters with virtually no time to respond. This has also made the entire exercise appear administratively unviable and uneven. Mere procedural failures could lead to the deletion of voters from the electoral roll, and particularly at risk are those belonging to the minority communities.
The ECI’s schedule discipline has been under scrutiny for quite some time. Throughout the SIR exercise, it has had to extend timelines in multiple jurisdictions, including West Bengal, indicating pressure on the system’s ability to deliver within the originally set window.
The logistical breakdown has been compounded by regulatory flip-flops, such as the ECI’s latest decision to reject the Madhyamik (secondary examination) admit card as a valid document for the SIR. As a result, there is genuine frustration and suspicion among electors, particularly the fear that the ECI’s process will lead to their disenfranchisement. This has manifested across various districts in reported incidents of violence occurring alongside protests organised by both the Trinamool Congress and the Left.
The gap created during the SIR between procedure and lived reality echoes another destructive policy decision: demonetisation. In November 2016, that policy was presented as bold and cleansing, but its implementation led to weeks of cash shortages, long queues outside banks, widespread hardship and even reported deaths – outcomes that economists now largely consider failures on both economic and humanitarian fronts.
The SIR is following a familiar pattern under the Modi government: it announces high-impact but poorly planned “experimental” policies, whose consequences the citizenry is forced to bear. From the sudden nationwide lockdown announced in 2020 that led to the enormous migrant crisis, to the implementation of the National Register of Citizens (NRC) in Assam, which cost Rs 1,600 crore, took five years, excluded 19 lakh people – and was ultimately rejected by the very party that championed it, governance by shock has repeatedly left citizens stranded.
Each time, the state has initiated a massive, disruptive bureaucratic exercise without adequate infrastructure and when the machinery inevitably jams, the onus of proving legitimacy, finding shelter or queuing for cash has fallen entirely on the individual. The roll-revision now risks reproducing the same pattern, with the fundamental right to vote in the balance.
This article went live on January seventeenth, two thousand twenty six, at forty minutes past four in the afternoon.The Wire is now on WhatsApp. Follow our channel for sharp analysis and opinions on the latest developments.




