West Bengal SIR: Final Electoral Roll Shows 60 Lakh Voters in Legal Limbo
Kolkata: The Election Commission of India (ECI) on Saturday (February 28) published the final electoral roll for West Bengal with over 60 lakh voters marked as under adjudication, a move that has plunged the state into a climate of intense anxiety, confusion and chaos. This unprecedented administrative status, affecting a staggering 60,06,675 electors, leaves nearly 8.5% of the state's voting population in legal limbo just as the electoral machinery kicks into high gear.
While these electors remain on the final roll published on February 28, 2026, their ability to cast a ballot remains suspended pending judicial clearance, a hurdle that has turned the routine update of the voter list into a statewide crisis.

An analysis of the data by The Wire reveals a stark geographical and demographic skew. The list shows a disproportionate concentration in just five districts, all with significant Muslim populations, which accounts for a staggering 58.65% of the total electorate marked as under adjudication. The minority-dominated belt of Murshidabad (11,01,145), Malda (8,28,127), and North Dinajpur (4,80,341) alone accounts for over 2.4 million flagged names. Significant numbers were also flagged in the 24 Parganas, with North 24 Parganas recording 5,91,252 and South 24 Parganas with 5,22,042 adjudicated names, alongside substantial figures in East Burdwan (3,65,539), Nadia (2,67,940) and Cooch Behar (2,38,107).

This trend persists despite districts like Malda and Murshidabad, both Muslim-majority areas, showing a very high mapping consistency with the 2002 electoral roll, raising significant questions about the criteria driving these massive exclusions in specific pockets of the state.
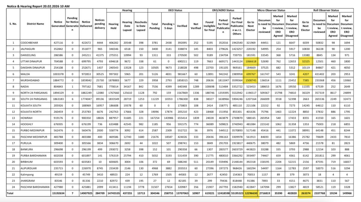
Interestingly, an internal report prepared by the ECI on February 20 reveals that a massive number of electors across West Bengal had initially cleared observer-level verification checks. This included 1,22,96,630 voters marked as “Go to Next Elector” by the ECI-appointed micro observers, meaning they are cleared, and 2,63,374 by roll observers, while the District Election Officer (DEO) status was verified for 1,37,07,063 voters.
Micro observers and roll observers are appointed by ECI to scrutinise voters passed by AEROs and EROs
The geographic concentration of these cleared statuses was highest in districts that are now facing the heaviest adjudication loads following a subsequent Supreme Court order.

For instance, Murshidabad had 15,08,745 voters cleared by Micro Observers but now has 1.1 million names under adjudication, while North 24 Parganas and South 24 Parganas had 11,96,517 and 12,07,164 cleared respectively, with roughly 5.91 lakh and 5.22 lakh currently under scrutiny. Similarly, Uttar Dinajpur saw over 10.6 lakh voters pass initial checks, yet now has 4.80 lakh placed under adjudication. This shift signifies that these electors, once deemed verified, are now ineligible to vote until a judicial officer formally resolves logical discrepancies.
District-wise data released Saturday night confirms a stark geographical skew, as five specific districts account for more than 50% of the total state-wide adjudications. The minority-dominated belt of Murshidabad (1,101,145), Malda (828,127) and North Dinajpur (480,341) alone accounts for over 2.4 million flagged names.
Significant numbers were also flagged in the 24 Parganas, with North 24 Parganas recording 591,252 and South 24 Parganas 522,042 adjudicated names, alongside substantial figures in East Burdwan (365,539), Nadia (267,940), and Cooch Behar (238,107).
Detailed scrutiny at the polling station level confirms a glaring bias. In Murshidabad’s Lalgola Constituency with population over 75% Muslim, investigations by The Wire into three specific polling stations highlight these discrepancies. In Part No. 130, which has a 99% Muslim population, over 190 out of 1,299 electors (more than 15%) have been marked as adjudicated. In Part No. 135, where the population is 55% Muslim and 45% Hindu, 55 voters were marked under adjudication, all but one of whom belonged to the minority community.

By contrast, in nearby Part No. 139, which has a 99% Hindu population of 622 electors, only 2 individuals were placed under adjudication, illustrating a profound disparity in how the cleanup has been applied across different demographic blocks. To put this into perspective, as per the draft roll published by the ECI, only 1.1% of the voters failed to map themselves with 2002 electoral roll, the base for the revision.

The disparity is even more pronounced in the BJP stronghold of Gaighata in North 24 Parganas. A Matua-dominated population and a Muslim demographic of less than 8%, the draft list recorded a 14.51% unmapped rate here, one of the highest in the state.
A deeper look by The Wire across three polling stations further revealed a skewed application of the "under adjudication" status. In Part No. 186 (80% Muslim), 31 voters were flagged, with only one being Hindu.

Conversely, in the 100% Hindu Part No. 180, not a single one of the 778 voters was marked for adjudication. Even in the mixed-demographic Part No. 7 (53% Muslim), the divide remains sharp, with 80 Muslim names placed under adjudication compared to 38 Hindu names.

The finalised list now stands at 7.04 crore electors, reflecting a sharp contraction of 4 lakh voters since the December 2025 draft and a massive 62 lakh fewer than the January 2025 figures.
This article went live on March first, two thousand twenty six, at thirty-nine minutes past eight in the evening.The Wire is now on WhatsApp. Follow our channel for sharp analysis and opinions on the latest developments.




