Does the Persecution of Indian Muslims Shape Their Attitude Towards Community Welfare?
Muslims are arguably the most persecuted group in contemporary India. Their loyalty to the nation has constantly been questioned since partition. While other marginalised groups have made notable gains after Independence, intergenerational mobility for Muslims has declined over time (Asher et al. 2024).
Further, the community has witnessed a surge in hate crime in recent years (Ramachandran 2020). One might argue that ‘big riots’ are a thing of the past, or incidents of lynching are relatively rare. But even in peaceful periods, everyday discrimination affects virtually all aspects of Muslim lives – from where they live, to whom they engage with, and how they carry out those interactions.
Should we expect the status of Muslims as a ‘persecuted minority’ to also shape their attitudes toward contributing to community welfare?
This question is especially relevant in urban settings where people live in close quarters and local state capacity is low. In such contexts, working together with neighbours from diverse backgrounds is often the only way to take care of local services like garbage collection or drain cleaning.
Context and research design
To shed light on this puzzle, we conducted a survey experiment in 16 bastis (or communities) in five slum settlements in Delhi, covering 3,843 individuals (Cammett, Chakrabarti and Romney 2024). About 13% of the city’s population is Muslim, roughly mirroring that of India. Fieldwork was carried out in 2018, a period that was relatively peaceful, before the widespread protests against the Citizenship Amendment Act (CAA) and the communal riots that shook Delhi in 2020. Yet, the absence of overt violence is not a guarantee against discrimination. Muslim segregation in Delhi is high – comparable to cities like Bengaluru, Hyderabad, and Ahmedabad – while Muslim representation in government agencies among the lowest. Delhi is hence a good case to explore the question.
We selected areas with varying levels of Hindu and Muslim diversity. Our intervention focused on drainage, a (near) pure public good that cannot be addressed by individual, uncoordinated solutions. Accumulation of garbage in one part of a neighbourhood causes drains to clog, and in turn affects the well-being of the entire community (Figure 1). Drainage is also one of the most deficient services in Delhi’s informal settlements, including in our site. While municipal workers did clean drains along the major roads, residents in most bastis were forced to maintain internal drains through their own efforts. Collective action in local communities, however, is complicated and shaped by a host of factors. To better understand the social and political life of our study site, we worked with a team of researchers from the Centre for Policy Research (CPR) who carried extensive qualitative fieldwork in our cases over a period of three months before the survey. Our case selection and research design were informed by their findings.
Figure 1. Condition of drainage in selected sites

Figure 1. Condition of drainage in selected sites
On the theoretical side, we draw on the rich body of work on ethnic diversity and development. Studies across different contexts overwhelmingly find that ethnic diversity impedes public goods provision – a negative relationship that has been described as the “most powerful hypothesis in political economy” (Alesina and Ferrara 1999, Banerjee et al. 2005). Efforts to identify the underlying mechanisms driving this relationship at the micro-level point to the role of social norms and networks in coordinating in-group collective action (Habyarimana et al. 2007, Miguel and Gugerty 2005). We examined three distinct social accountability mechanisms. The first, ‘black sheep effect’, is a psychological mechanism that highlights the underperformance of fellow group members. The second, ‘horizontal accountability’, primes the prospect of public shaming in front of one's neighbours, such as through gossip. Finally, ‘vertical accountability’, entails shaming through pressure by local elites, like pradhans (or informal leaders in slum communities).
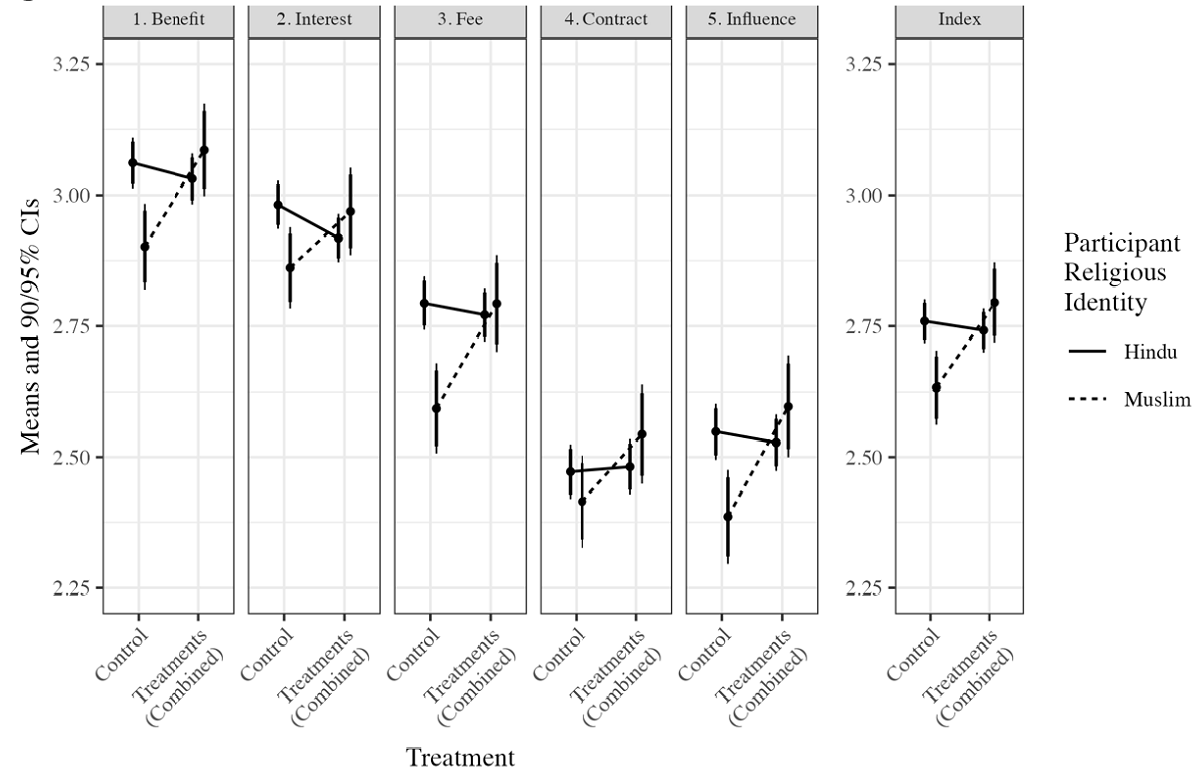
In our experimental manipulation, we presented respondents with a hypothetical neighbourhood initiative to hire a private firm to clean and maintain drains in the community. Importantly, this initiative required the support of two-thirds of the community. Participants were then exposed to a favourable testimonial from a nearby resident about the hypothetical drainage scheme and a description of social consequences there would be for those who do not contribute. We randomised aspects of the testimonial and accountability descriptions to test the three accountability mechanisms. Finally, the results were measured using an index of five outcomes of participants' willingness to contribute to the initiative – benefit, interest, willingness to pay a fee, enter a contract, and influence neighbours to sign up, each measured on a 1–4 scale with higher levels indicating more positive responses.
Findings
We find that that Muslims showed greater willingness to contribute to the initiative in response to the treatment (intervention), whereas treated Hindus were no more willing to contribute than those in the control group (not subject to any intervention) (Figure 2). This is surprising given the dominant diversity-deficit hypothesis; we had expected homogeneous areas, that is, majority Hindu or Muslim neighbourhoods, to be the most willing to increase their contributions to the collective good in response to the accountability mechanisms.
Figure 2. Effect of combined treatments on favourability toward drainage programme, by religion

Note: CIs are confidence intervals. A 90/95% CI means that, if you were to repeat the experiment over and over with new samples, 90/95% of the time the calculated CI would contain the true effect.
The findings on ethnic diversity were also unexpected. We used data from GPS coordinates of respondents to produce a fine-grained and highly accurate measure of diversity, estimating the proportion of Hindus and Muslims within a 100-metre radius (equivalent of a few streets) for each respondent. Using this measure, neighbourhood diversity had no effect on the results. Further, the treatment effects for Muslims in majority-Hindu and majority-Muslim neighbourhoods were stronger, providing further evidence that there is no clear relationship between neighbourhood diversity and the effect of our interventions. Our results hold after accounting for a host of relevant factors, including the strength of social ties, gender, and socioeconomic status, and we do not find any evidence that religiosity or cultural distinctiveness of Muslims shaped the outcomes.
Explaining Muslim cooperation
What might account for pro-social attitudes among Muslims? The scholarship on ethnic violence, particularly by anthropologists, offers some insights. Several studies on Indian cities with histories of inter-communal tensions show that the responsibility of preserving “everyday peace” largely falls on the shoulders of Muslims, based on the implicit acceptance of unequal status between Hindus and Muslims. This status quo is maintained not only by the threat of violence by the majority, but also by self-policing by Muslims.
Such norms of ‘in-group policing’ extend to other realms, including collective action around public goods provision. In an ethnographic study of communal peace in Varanasi, for example, Williams (2015) observed that unlike Hindus, Muslims did not respond to poor public services through public protests because of fear of worsening discrimination and religious tension. Instead, Muslim elites established autonomous welfare institutions to improve the living conditions of Muslim residents. They even extended the services to poorer Hindus in the community to maintain peace. In Delhi too, we observed ‘peace committees’ to mobilise residents in the possible event of communal riots in some Muslim bastis. Local leaders who set up the committees also ran community organisations that provided public services like education, childcare, and healthcare to residents. Such community-led welfare was rare in Hindu areas.
We argue that the higher propensity of Muslims to respond to accountability mechanisms is a manifestation of ‘defensive cooperation’, or a set of protective coping strategies that makes minority group members more responsive to social pressure in a hostile sociopolitical environment. Consistent with national trends, Muslims in our sample exhibit lower levels of trust in State institutions like the police, political parties, and the Prime Minister. Hindus and Muslims, however, had comparable levels of political participation, social ties, and networks with government officials.
Interestingly, not all Muslims exhibit prosocial attitudes. We find that our results are primarily driven by upper-caste Muslims and Muslims who feel a greater sense of obligation to in-group members. Lower-caste Muslims exhibit no difference from lower-caste Hindu respondents. Upper-caste Hindus, in contrast, respond negatively to the intervention.
While our research design does not allow us to test potential mechanisms definitively, we suggest that prosocial behaviour by this subgroup may be motivated by a sense of responsibility to the community, either out of paternalism or because their interests are vested in the group. In the absence of a similar history of prejudice, the majority Hindus do not respond to the primes in a similar manner. More research is needed to understand how within-group heterogeneity mediates social relations and collective action, but our results potentially provide important insights on the role of caste in Muslim communities.
Implications
Our research introduces a new dimension of group-based inequality that may moderate the relationship between diversity and public goods provision: minority status. For members of persecuted minorities, social norms are not just determined by in-group dynamics but are also shaped by inter-group relations in the context of exclusion and threats of violence. Perceived violations of norms can be especially vexing for members of a persecuted minority when perpetrated by in-group members, inviting strong efforts to police in-group behaviour.
This set of coping strategies may be manifested in different ways. First, fear of targeted violence and repression may induce members of persecuted minorities to contribute more to the collective goods as a way to avoid inciting further negative attention. Second, the shared history of discrimination may compel minorities to band together, inducing greater contributions to local public goods, especially in contexts of high residential segregation where minorities are surrounded by members of their own community. Third, the experience of discrimination may induce persecuted minorities to seek greater acceptance by the dominant group by downplaying their ‘otherness’ and contributing more to the society in general. Relatedly, minorities may police in-group members as a way to demonstrate loyalty to the dominant group. Finally, as theorists of the “politics of respectability” among African Americans in the US argue (Jefferson 2023), members of persecuted minorities who identify more strongly with the in-group may be especially vested in countering negative stereotypes of their community, which in turn may incentivise them to adopt prosocial behaviours to enhance the in-group image. Future research should unpack and test each of these and other potential mechanisms underlying defensive cooperation.
Melani Cammett is Clarence Dillon Professor of International Affairs in the Department of Government and Director of the Weatherhead Center for International Affairs at Harvard University.
Poulomi Chakrabarti is a visiting scholar at the Lakshmi Mittal and Family South Asia Institute, Harvard University.
David Romney is an assistant professor of political science at Brigham Young University.
This article appeared first on Ideas for India.
This article went live on October seventeenth, two thousand twenty four, at zero minutes past eight in the morning.The Wire is now on WhatsApp. Follow our channel for sharp analysis and opinions on the latest developments.





